SLOPE函数用于计算根据known_y’s和known_x’s中的数据点拟合的线性回归直线的斜率。斜率为直线上任意两点的垂直距离与水平距离的比值,也就是回归直线的变化率。SLOPE函数的语法如下:
SLOPE(known_y's,known_x's)
其中,known_y’s参数为数字型因变量数据点数组或单元格区域,known_x’s参数为自变量数据点集合。下面通过实例详细讲解该函数的使用方法与技巧。
打开“SLOPE函数.xlsx”工作簿,切换至“Sheet1”工作表,本例中的原始数据如图18-66所示。该工作表中记录了一组x、y值,要求根据这些数据点计算拟合的线性回归直线的斜率。具体的操作步骤如下。
选中A10单元格,在编辑栏中输入公式“=SLOPE(A2:A8,B2:B8)”,用于计算线性回归直线的斜率,输入完成后按“Enter”键返回计算结果,如图18-67所示。

图18-66 原始数据

图18-67 计算斜率
注意:
1)参数可以是数字,或者是包含数字的名称、数组或引用。
2)如果数组或引用参数包含文本、逻辑值或空白单元格,则这些值将被忽略;但包含零值的单元格将计算在内。
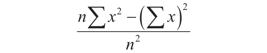
3)如果known_y’s参数和known_x’s参数为空或其数据点个数不同,函数SLOPE返回错误值“#N/A”。回归直线的斜率计算公式如下:

其中x和y是样本平均值AVERAGE(known_x’s)和AVERAGE(known_y’s),n是样本大小。

























