RSQ函数用于根据known_y’s和known_x’s中数据点计算得出的Pearson乘积矩相关系数的平方。R平方值可以解释为y方差与x方差的比例。RSQ函数的语法如下。
RSQ(known_y's,known_x's)
其中参数known_y’s为因变量数组或数据点区域。known_x’s为自变量数组或数据点区域。
典型案例
已知一组x值和y值,计算Pearson乘积矩相关系数的平方。基础数据如图16-137所示。
步骤1:打开例子工作簿“RSQ.xlsx”。
步骤2:在单元格A10中输入公式“=RSQ(A2:A8,B2:B8)”,用于根据以上数据点计算得出的Pearson乘积矩相关系数的平方。计算结果如图16-138所示。

图16-137 基础数据

图16-138 计算结果
使用指南
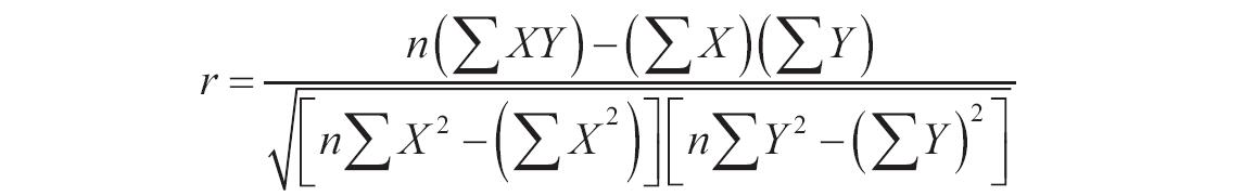
参数可以是数字或者是包含数字的名称、数组或引用。逻辑值和直接键入到参数列表中代表数字的文本被计算在内。如果数组或引用参数包含文本、逻辑值或空白单元格,则这些值将被忽略,但包含零值的单元格将计算在内。如果参数为错误值或为不能转换成数字的文本,将会导致错误;如果known_y’s和known_x’s为空或其数据点个数不同,函数RSQ返回错误值“#N/A”;如果known_y’s和known_x’s函数只包含1个数据点,则RSQ函数返回错误值“#DIV/0!”。Pearson乘积矩相关系数r的计算公式如下。

其中X和Y是样本平均值AVERAGE(known_x’s)和AVERAGE(known_y’s)。RSQ返回r2,即相关系数的平方。