WEIBULL函数用于返回韦伯(Weibull)分布。使用此函数可以进行可靠性分析,比如计算设备的平均故障时间。WEIBULL函数的语法如下。
WEIBULL(x,alpha,beta,cumulative)
其中参数x为参数值,alpha为分布参数,beta为分布参数,cumulative为指明函数的形式。
典型案例
已知参数值、Alpha分布参数、Beta分布参数,计算在这些条件下使用韦伯累积分布函数的结果和使用韦伯概率密度函数的结果。基础数据如图16-163所示。
步骤1:打开例子工作簿“WEIBULL.xlsx”。
步骤2:在单元格A6中输入公式“=WEIBULL(A2,A3,A4,TRUE)”,用于计算在上述条件下使用韦伯累积分布函数的结果。
步骤3:在单元格A7中输入公式“=WEIBULL(A2,A3,A4,FALSE)”,用于计算在上述条件下使用韦伯概率密度函数的结果。计算结果如图16-164所示。

图16-163 基础数据

图16-164 计算结果
使用指南
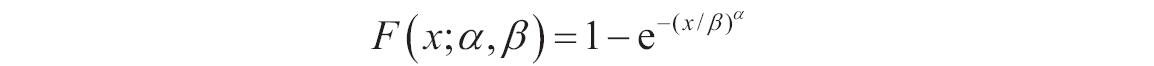
如果x、alpha或beta为非数值型,函数WEIBULL返回错误值“#VALUE!”;如果x<0,函数WEIBULL返回错误值“#NUM!”;如果alpha≤0或beta≤0,函数WEIBULL返回错误值“#NUM!”。韦伯累积分布函数的计算公式如下。

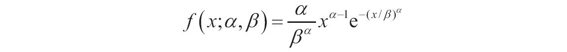
韦伯概率密度函数的计算公式如下。

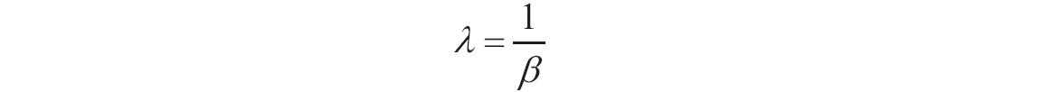
当alpha=1,函数WEIBULL返回指数分布如下。
