HYPGEOMDIST函数用于计算超几何分布。给定样本容量、样本总体容量和样本总体中成功的次数,函数HYPGEOMDIST返回样本取得给定成功次数的概率。使用函数HYPGEOMDIST可以解决有限总体的问题,其中每个观察值或者为成功或者为失败,且给定样本容量的每一个子集有相等的发生概率。HYPGEOMDIST函数的语法如下。
HYPGEOMDIST(sample_s,number_sample,population_s,number_population)
其中参数sample_s为样本中成功的次数,number_sample为样本容量,population_s为样本总体中成功的次数,number_population为样本总体的容量。
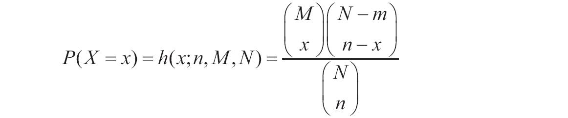
【背景知识】超几何分布的计算公式如下。

式中:
x=sample_s
n=number_sample
M=population_s
N=number_population
【典型案例】已知样本中成功的次数、样本容量、样本总体中成功的次数、样本总体的容量,计算样本和样本总体的超几何分布。基础数据如图16-39所示。
步骤1:打开例子工作簿“HYPGEOMDIST.xlsx”。
步骤2:在单元格A7中输入公式“=HYPGEOMDIST(A2,A3,A4,A5)”,用于计算总体平均值的置信区间。计算结果如图16-40所示。

图16-39 基础数据

图16-40 计算结果
【使用指南】所有参数将被截尾取整。如果任一参数为非数值型,函数HYPGEOMDIST返回错误值“#VALUE!”。如果sample_s小于0或sample_s大于number_sample和population_s中的较小值,函数HYPGEOMDIST返回错误值“#NUM!”。如果sample_s小于0或(number_sample-number_population+population_s)中的较大值,函数HYPGEOMDIST返回错误值“#NUM!”。如果number_sample≤0或number_sample>number_population,函数HYPGEOMDIST返回错误值“#NUM!”。如果population_s≤0或population_s>number_population,函数HYPGEOMDIST返回错误值“#NUM!”。如果number_population≤0,函数HYPGEOMDIST返回错误值“#NUM!”。
函数HYPGEOMDIST用于在有限样本总体中进行不退回抽样的概率计算。


