VARA函数用于计算基于给定样本的方差。VARA函数的语法如下。
VARA(value1,value2,...)
其中参数value1,value2,…为对应于总体的一个样本的1到255个数值参数。
典型案例
假定某工厂仅生产了10种产品,取样为随机样本进行抗断强度检验。基础数据如图16-99所示。
步骤1:打开例子工作簿“VARA.xlsx”。
步骤2:在单元格A13中输入公式“=VARA(A2:A11)”,用于计算工具抗断强度的方差。计算结果如图16-100所示。

图16-99 基础数据

图16-100 计算结果
使用指南
函数VARA假设其参数为总体的一个样本。如果数据代表的是样本总体,则必须使用函数VARPA来计算方差。参数可以是下列形式:数值;包含数值的名称、数组或引用;数字的文本表示;或者引用中的逻辑值,如TRUE和FALSE。逻辑值和直接键入到参数列表中代表数字的文本被计算在内。
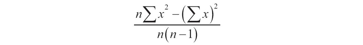
包含TRUE的参数作为1来计算,包含文本或FALSE的参数作为0(零)来计算,如果参数为数组或引用,则只使用其中的数值,数组或引用中的空白单元格和文本值将被忽略;如果参数为错误值或为不能转换为数字的文本,将会导致错误;如果要使计算不包括引用中的逻辑值和代表数字的文本,则需要使用VAR函数。函数VARA的计算公式如下。

其中x是样本平均值AVERAGE(value1,value2,…)且n是样本大小。