IMDIV函数用于计算以“x+yi”或“x+yj”文本格式表示的两个复数的商,IMPRODUCT函数用于计算以“x+yi”或“x+yj”文本格式表示的1至255个复数的乘积,IMSUB函数用于计算以“x+yi”或“x+yj”文本格式表示的两个复数的差,IMSUM函数用于计算以“x+yi”或“x+yj”文本格式表示的两个或多个复数的和。IMDIV、IMPRODUCT、IMSUB和IMSUM函数的语法如下。
IMDIV(inumber1,inumber2)
其中参数inumber1为复数分子(被除数),inumber2为复数分母(除数)。
IMPRODUCT(inumber1,inumber2,...)
其中参数inumber1,inumber2,…为1到255个用来相乘的复数。
IMSUB(inumber1,inumber2)
其中参数inumber1为被减(复)数,inumber2为减(复)数。
IMSUM(inumber1,inumber2,...)
其中参数inumber1,inumber2,…为1到255个用来相加的复数。
背景知识
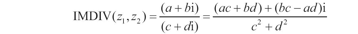
两个复数商的计算公式为。

两复数乘积的计算公式如下。

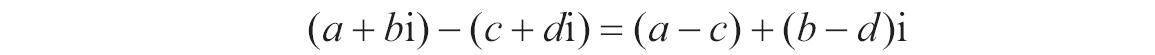
两复数差的计算公式如下。

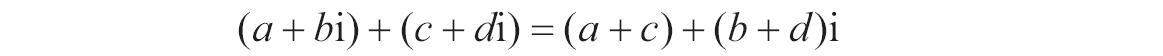
两复数和的计算公式如下。

典型案例
求解复数的商、积、差与和。本例的原始数据如图18-21所示。
步骤1:在单元格A5中输入公式“=IMDIV(B1,B2)”,用于计算复数A和B的商。
步骤2:在单元格A6中输入公式“=IMPRODUCT(B1,B2)”,用于计算复数A和B的积。
步骤3:在单元格A7中输入公式“=IMSUB(B1,B2)”,用于计算复数A和B的差。
步骤4:在单元格A8中输入公式“=IMSUM(B1,B2)”,用于计算复数A和B的和。最终计算结果如图18-22所示。

图18-21 原始数据

图18-22 计算结果
使用指南
使用函数COMPLEX可以将实系数和虚系数复合为复数。