BINOMDIST函数可以返回一元二项式分布的概率值。函数BINOMDIST适用于固定次数的独立试验,当试验的结果只包含成功或失败两种情况,且当成功的概率在实验期间固定不变。例如,函数BINOMDIST可以计算三个婴儿中两个是男孩的概率。BINOMDIST函数的语法如下。
BINOMDIST(number_s,trials,probability_s,cumulative)
其中参数number_s为试验成功的次数。trials为独立试验的次数。probability_s为每次试验中成功的概率。cumulative为一逻辑值,决定函数的形式。如果cumulative为TRUE,函数BINOMDIST返回累积分布函数,即至多number_s次成功的概率;如果为FALSE,返回概率密度函数,即number_s次成功的概率。
【典型案例】已知工厂中某次产品试验的成功次数为8,独立试验次数为12,每次试验的成功概率为0.6,要计算12次试验中成功6次的概率。基础数据如图16-29所示。
步骤1:打开例子工作簿“BINOMDIST.xlsx”。
步骤2:在单元格A6中输入公式“=BINOMDIST(A2,A3,A4,FALSE)”,用于计算12次试验成功6次的概率。计算结果如图16-30所示。
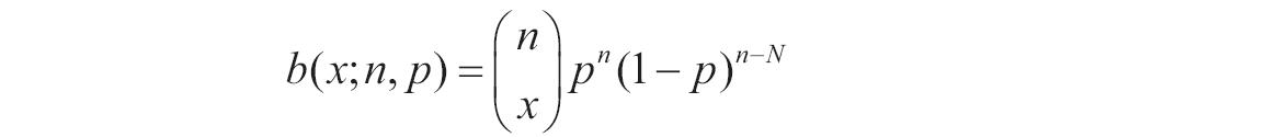
【使用指南】number_s和trials将被截尾取整。如果number_s、trials或probability_s为非数值型,函数BINOMDIST返回错误值“#VALUE!”。如果number_s<0或number_s>trials,函数BINOMDIST返回错误值“#NUM!”。如果probability_s<0或probability_s>1,函数BINOMDIST返回错误值“#NUM!”。一元二项式概率密度函数的计算公式为:

式中:
等于COMBIN(n,x)。

图16-29 基础数据

图16-30 计算结果
一元二项式累积分布函数的计算公式为:
