VARP函数用于计算基于样本总体的方差。VARP函数的语法如下。
VARP(number1,number2,...)
其中参数number1,number2,…为对应于样本总体的1到255个参数。
典型案例
假定某工厂仅生产了10种产品,取样为随机样本进行抗断强度检验。基础数据如图16-101所示。
步骤1:打开例子工作簿“VARP.xlsx”。
步骤2:在单元格A13中输入公式“=VARP(A2:A11)”,用于计算全部工具抗断强度的方差(假定仅生产了10件工具)。计算结果如图16-102所示。

图16-101 基础数据

图16-102 计算结果
使用指南
函数VARP假设其参数为样本总体。如果数据只是代表样本总体中的一个样本,则使用函数VAR计算方差。参数可以是数字或者是包含数字的名称、数组或引用。逻辑值和直接键入到参数列表中代表数字的文本被计算在内。
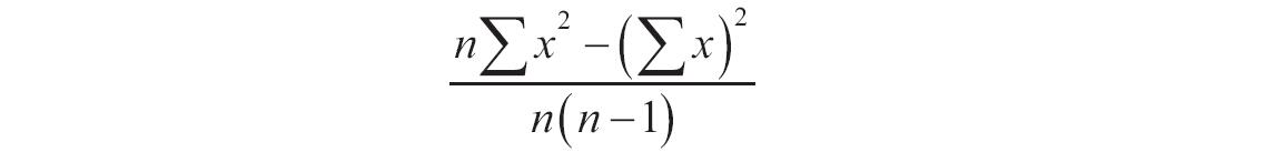
如果参数是一个数组或引用,则只计算其中的数字,数组或引用中的空白单元格、逻辑值、文本或错误值将被忽略。如果参数为错误值或为不能转换为数字的文本,将会导致错误;如果要使计算包含引用中的逻辑值和代表数字的文本,则需要使用VARPA函数。函数VARP的计算公式如下:

其中x为样本平均值AVERAGE(number1,number2,…),n为样本大小。























