VARPA函数用于计算基于样本总体的方差。VARPA函数的语法如下。
VARPA(value1,value2,...)
其中参数value1,value2,…为对应于样本总体的1到255个参数。
典型案例
假定某工厂仅生产了10种产品,取样为随机样本进行抗断强度检验。基础数据如图16-95所示。
步骤1:打开例子工作簿“VARPA.xlsx”。
步骤2:在单元格A13中输入公式“=VARPA(A2:A11)”,用于计算全部工具抗断强度的方差(假定仅生产了10件工具)。计算结果如图16-96所示。

图16-95 基础数据

图16-96 计算结果
使用指南
函数VARPA假设其参数为样本总体。如果数据代表的是总体的一个样本,则必须使用函数VARA来计算方差。参数可以是下列形式:数值;包含数值的名称、数组或引用;数字的文本表示;或者引用中的逻辑值,例如TRUE和FALSE。逻辑值和直接键入到参数列表中代表数字的文本被计算在内。包含TRUE的参数作为1来计算,包含文本或FALSE的参数作为0(零)来计算。
如果参数为数组或引用,则只使用其中的数值,数组或引用中的空白单元格和文本值将被忽略;如果参数为错误值或为不能转换为数字的文本,将会导致错误;如果要使计算不包括引用中的逻辑值和代表数字的文本,则需要使用VAR函数。函数VARPA的计算公式如下。

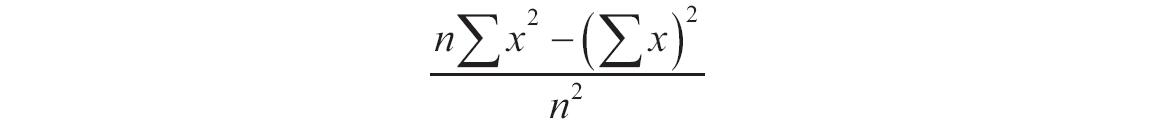
其中x是样本平均值AVERAGE(value1,value2,…)且n是样本大小。




















